泥沙泵輸送距離受自身性能、介質特性、管路系統設計、運行工況條件、外部環境等多種因素影響。本文具體介紹泵的自身性能對輸送距離的影響及優化策略。
一、雜質泵自身性能對輸送距離的影響機制
1、揚程-流量特性與輸送距離的關系
揚程(H)是泵克服管路阻力的核心參數,其與流量(Q)的關系曲線(H-Q曲線)決定了泵的適用工況。
低揚程泵:適用于短距離、低阻力輸送,但長距離輸送時易因揚程不足導致流量驟降。
高揚程泵:可提供更大壓力,但若選型過大,可能導致效率下降,能耗增加。
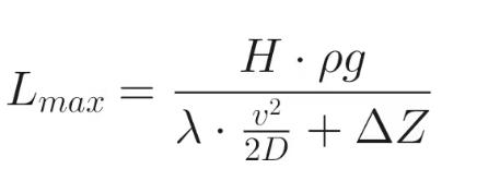
臨界輸送距離(L<sub>max</sub>)估算公式(基于伯努利方程簡化):

其中:
H:泵的可用揚程(m)
λ:管道摩擦系數
v:流速(m/s)
D:管徑(m)
ΔZ:高程差(m)
優化策略:a選擇H-Q曲線平緩的泵型,以適應流量波動(如下附曲線圖):

b采用變頻調節,使泵始終工作在高效區。
2 、葉輪設計對輸送能力的影響:葉輪是雜質泵的核心部件,其結構直接影響顆粒通過性和揚程效率。
| 葉輪類型 | 適用場景 | 對輸送距離的影響 |
| 開式葉輪 | 大顆粒、高濃度 | 通過性好,但效率低(縮短經濟輸送距離) |
| 閉式葉輪 | 小顆粒、高揚程 | 效率高,但易堵塞(需更高維護成本) |
| 半開式葉輪 | 不等顆粒 | 平衡通過性和效率 |

CFD模擬發現:
a、葉輪葉片數增加可提高揚程,但會加劇顆粒碰撞磨損。
b、后彎葉片設計可降低湍流,提高長距離輸送穩定性。

優化方向:
A、采用耐磨合金葉輪(如Cr28高鉻鑄鐵)延長壽命。Cr28材質的主要成分是鉻(Cr),含量高達28%,這使得其具有卓越的耐磨性和耐腐蝕性。此外,它還含有適量的碳(C)、硅(Si)、錳(Mn)以及其他微量元素,這些元素的綜合作用使得Cr28材質在硬度、韌性和高溫穩定性方面表現出色。高鉻鑄鐵中的硬質相主要為M7C3型碳化物,這種碳化物的硬度極高,達到了HV1500~1800,因此在承受磨損時能夠保持較長時間的完好狀態。
B、優化葉片傾角,減少固相沉積風險。
① 優化葉片前緣輪廓:
② 調整葉片彎曲方式:
③ 使用扭曲葉片:
④ 優化葉輪入口設計
⑤ 優化葉輪出口葉片高度:
3 、功率與效率的制約:雜質泵的效率(η)直接影響輸送經濟性,低效泵會導致:
A、相同輸送距離下能耗增加(運行成本上升)。
B、電機過載風險,限制最大輸送能力。
效率影響因素:
機械損失:軸承、密封摩擦(占5%~10%)。
水力損失:葉輪和蝸殼內湍流(占15%~25%)。
容積損失:內部泄漏(占3%~8%)。
實驗數據對比(遠洋泵業300GN-50型泵):
| 工況 | 效率(η) | 最大輸送距離(km) |
| 新泵(優化葉輪) | 78% | 3.2 |
| 磨損后泵 | 62% | 2.1 |
優化措施:
A、定期監測效率,及時更換磨損部件
B、采用高效水力模型,如低比轉速設計。
二、優化策略與工程應用
1. 泵型匹配與系統集成
長距離輸送:優先選擇多級泵或串聯泵組,逐級增壓。
高濃度介質:采用大通道葉輪+高功率電機組合。
2 .智能控制技術
變頻驅動(VFD):動態調節轉速,適應不同輸送階段阻力變化。
物聯網(IoT)監測:實時分析揚程、流量數據,預測臨界輸送距離。
2019杭州亞運場館大面積建設,形成的大量建筑泥沙在杭州無處堆放,后需運往浙江紹興上虞堆場。采用沿河鋪設管道,泥沙泵串聯輸送,最遠輸送距離60公里。當時施工方采用遠洋泵業450PNS-35型泵配套450千瓦電機施工,每臺輸送3公里,共采用20臺泵串聯。應用變頻控制技術,檢測揚程、流量數據,通過壓力傳感器自動調整轉速,一套PLC系統實現了全部操作,成功完成項目。

3.變速箱:如果是配套柴油機驅動需配備速比合適的變速箱。

4. 案例研究
問題:原泵在使用一段時間后輸送距離不足。
原因:葉輪磨損導致效率下降30%,揚程衰減。
解決方案:更換為抗磨葉輪+變頻控制,輸送距離提升至設計參數。
南京某隧道輸送項目采用遠洋泵業350GN-50泵型,原設計輸送距離4KM,運行2個月后在滿足流量的情況下實際輸送距離為2.8KM,后經更換葉輪及前護板后輸送距離提升至4KM。

三. 結論
1、雜質泵的輸送距離主要由揚程、葉輪設計、效率等自身性能決定。
2、優化葉輪結構和匹配高效工況可顯著提升經濟輸送距離。
3、未來趨勢:結合CFD仿真和智能控制,實現自適應長距離輸送。
展望:進一步研究納米涂層葉輪、磁懸浮軸承,更加耐磨的材質等新技術以降低能耗并延長泵的使用壽命。如果您在泵的選型、故障診斷、耐磨件配置或系統優化方面需要更深入的技術咨詢,可以聯系遠洋泵業的銷售工程師王超(電話:18653878869)。